Breaking News
Telephone Directory – Indian Railway Officer – Eastern Railway
Raipid Rail क्या है? कैसे बदलेगा शहरों का भविष्य | Delhi-Meerut RRTS पूरी जानकारी
Telephone Directory – Indian Railway Officer – Eastern Railway
All India TLC (Indian Railway) Phone Numbers
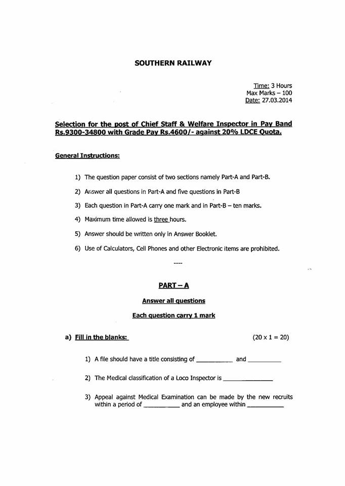
More Question Papers

Rail News Center रेलवे कर्मचारियों, परीक्षार्थियों एवं पाठकों के लिए रेलवे से जुड़ी नवीनतम खबरें, नियम, सर्कुलर एवं उपयोगी जानकारी सरल भाषा में प्रस्तुत करने वाला एक जानकारी आधारित पोर्टल है। Also See – www.informationcenter.co.in/index1.php?page_id=2
This entry was posted in 2 Railway Employee, 5 Question Paper / Bank, 6 Departmental Examination, Q Bank - Welfare Inspector, Railway Employee
New Railway Services – Pension Rules, 2026
राजभाषा पर विभागीय परीक्षा के लिए उपयोगी प्रश्नोतर
RRB Railway Exams List 2025: Types of Railway Exams, Posts, Eligibility & Selection Process
डोर स्टेप बैंकिंग (Door Step Banking)
रेलगाड़ी टक्कर बचाव प्रणाली (Train Collision Avoidance System)
रेल यात्री को 20रू में मिलेगा भरपेट भोजन
RBE No. 62/2025 Regarding Promotion/Seniority/Transfer – Commercial Dept (CC, TC, ECRC Merged)
रनिंग स्टाफ (Running Staff) सबंधित महत्वपूर्ण प्रश्न के उत्तर एवं स्पष्टीकरण
SYLLABUS OF DEPARTMENTAL EXAMINATION OF TNC
Railway Board Order Regarding Duty Hours of Running Staff
Raipid Rail क्या है? कैसे बदलेगा शहरों का भविष्य | Delhi-Meerut RRTS पूरी जानकारी
Q Paper & Answer AEN (Assistant Engineer) CBT Exam (Hindi/English) Dt 25.06.2023
Know About- चिकित्सा प्रतिपूर्ति दावा में लगने वाले प्रपत्रों की सूची
दुनिया के सबसे बड़े रेल नेटवर्क (2025)
KNOW ABOUT – SPL KINDS OF LEAVE – RAILWAY
सहायक लोको पायलट के कर्तव्य (Duties of Assistant Loco Pilot)
Consolidated Orders of MACP Scheme by By Personnel Branch BZA Division
Know About- चिकित्सा प्रतिपूर्ति दावा में लगने वाले प्रपत्रों की सूची
New Railway Services – Pension Rules, 2026
प्वाइंटसमेन की ड्यूटी लिस्ट ( list of Pointsman Duty)
Clarification – “Regular Employees” for appearing GDCE—Minimum Service Conditions
Shri Dharam Veer Meena Takes Over as General Manager, Central Railway
गंभीर रोगियों को ट्रेन किराए में 75% तक का डिस्काउंट
Question Paper Ticket Examiner in Level-2 PR Quota 33 1/3% Commercial Department Dated 10.10.2021
GDCE QUESTION PAPER & ANSWER KEY TECH-III/TRD & TECH-III/ELECTRICAL Dated 31-05-2022
Frequently asked Question (FAQ) On Privilege ePass / PTO
Question Paper With Answer of Chief Loco Inspector in Level 7 (ER) dt 08-09-2019
Question Paper & Answer – Goods Guard Selection Exam dt. 28.08.2022
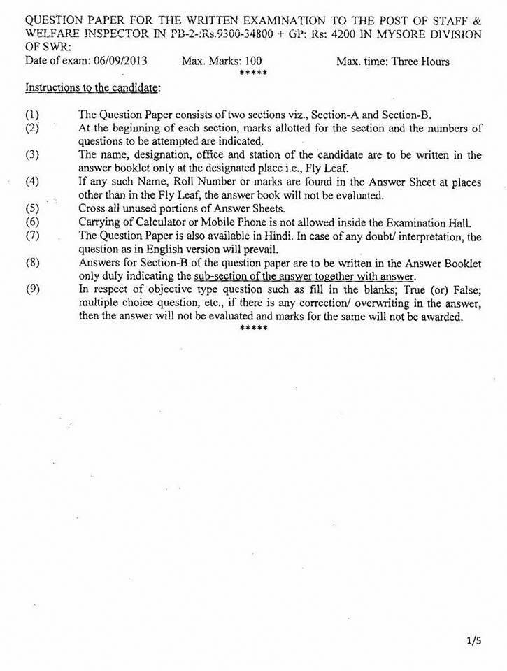
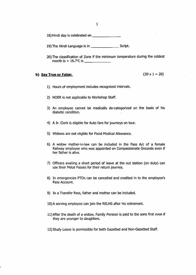
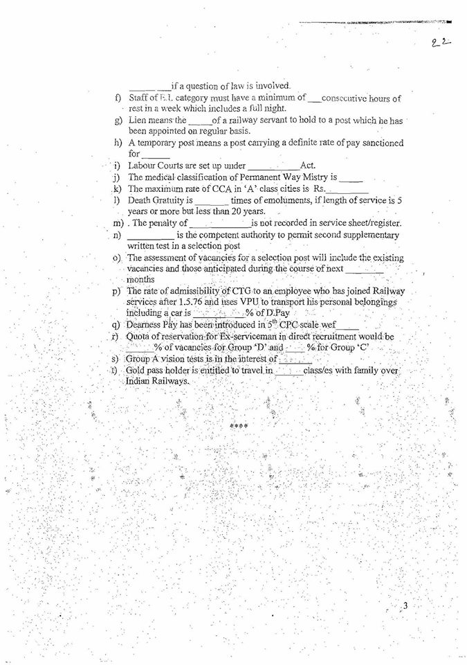
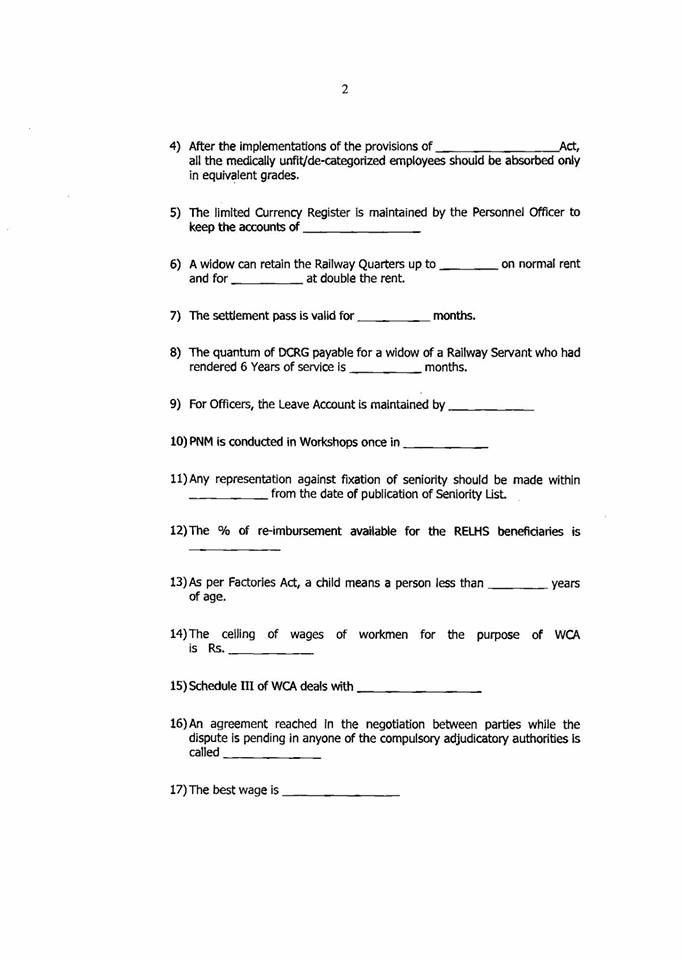
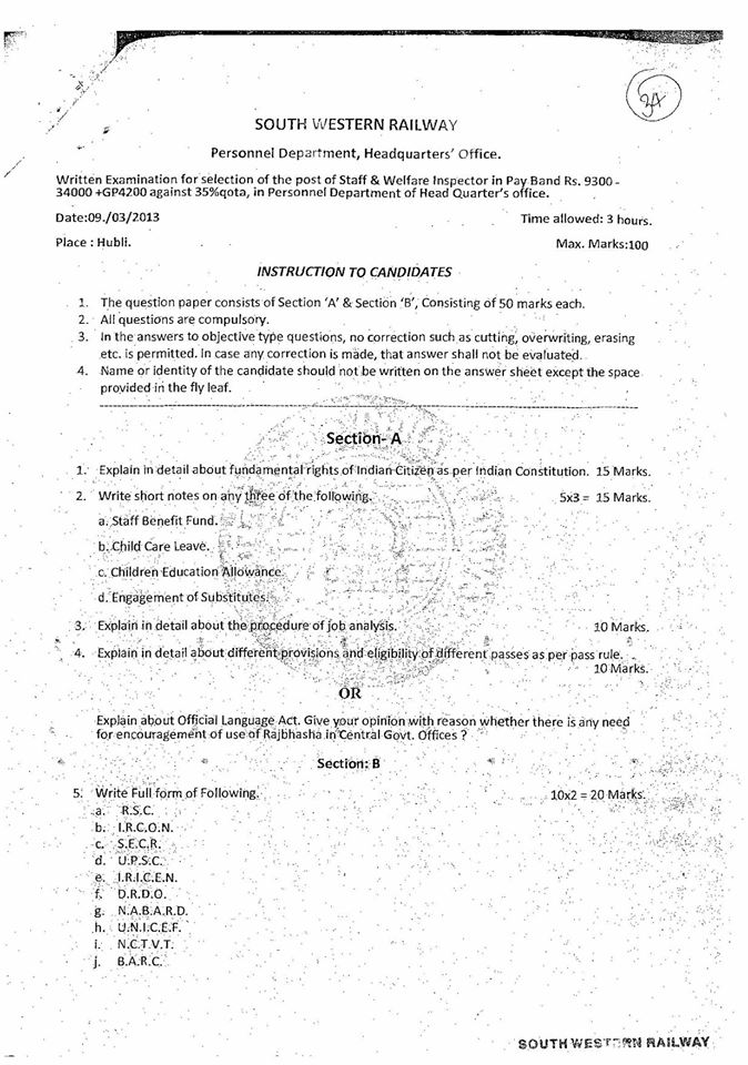
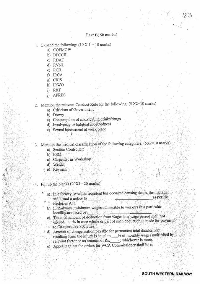
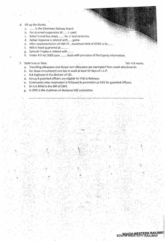
Q PAPER – SELECTION OF STAFF & WELFARE INSPECTOR – SWR – 2011
राजभाषा पर विभागीय परीक्षा के लिए उपयोगी प्रश्नोतर
Railway Management Guide – प्रबन्धन
APPLICATION FORM FOR (I) INTER RAILWAY (II) INTER DIVISIONAL/ DEPARTMENTAL TRANSFER (III) DEPUTATION
APPLICATION FORM FOR (I) INTER RAILWAY (II) INTER DIVISIONAL/ DEPARTMENTAL TRANSFER (III) DEPUTATION
Integral Coach Factory, Perambur
गुड/वैरी-गुड के चक्कर में फसेंगे कर्मी…. Chamchagiri Bahot Jaruri Hai
Post Retirement Complementary Passes For Railway Employees – Revised Entitlement
Clarification on Promotion Effecting Reservation (RBE 91/2018 dated 19.06.18)
SHINE Module Indian Railways: महिला रेलकर्मी अब ऑनलाइन दर्ज कर सकेंगी यौन उत्पीड़न की शिकायत
Refund Rules of Unreserved & Reserved Tickets of Indian Railway
Good News – Modification of Recruitment Rule of Train Manager (Guard)
ट्रेन में चोरी हो जाए तो क्या करें? FIR और शिकायत प्रक्रिया पूरी जानकारी
Vacancy Notification – Filling up of Various Ex-cadre posts of IRIEEN, Nashik road
Regarding Minimum Service Conditions For GDCE (General Departmental Competitive Examination )
Regarding Committee to Examine issues relating to Supervisory Categories
Syllabus – Section Controller (Traffic)
Materials Management on Indian Railways (English)
Trouble Shooting -SUB SYSTEM – 19 TRAIN BUS- ACT (RS) – ABB Loco (English) (Part – B)
SHINE Module Indian Railways: महिला रेलकर्मी अब ऑनलाइन दर्ज कर सकेंगी यौन उत्पीड़न की शिकायत
Are you sure you want to delete this element?
Close